Đề thi môn Toán kỳ thi tốt nghiệp THPT 2023 như sau:
![]() |
![]() |
![]() |
![]() |
![]() |
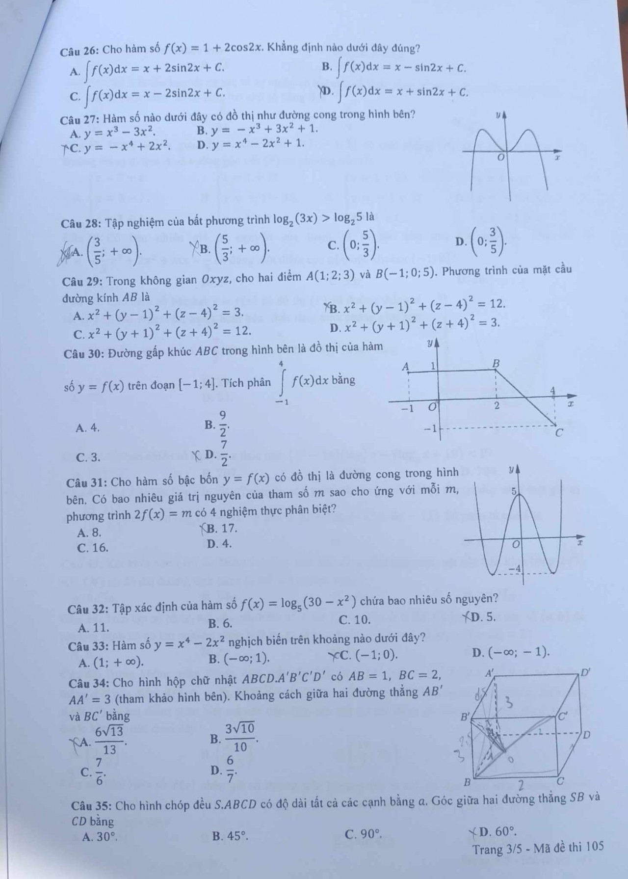
| Đề thi môn Toán chính thức kỳ thi tốt nghiệp THPT 2023. (Nguồn: Vietnamnet) |
Năm 2023, cả nước có hơn 1 triệu thí sinh đăng ký dự thi tốt nghiệp THPT. Trong đó, số thí sinh đăng ký dự thi trực tuyến chiếm 94,51%; số thí sinh đăng ký dự thi trực tiếp chiếm 5,49%; thí sinh tự do: 48.309 (chiếm 4,71%).
Số thí sinh dự thi chỉ để xét tốt nghiệp THPT là 73.232 (chiếm 7,14%); số thí sinh chỉ dự thi để xét tuyển sinh là 34.203 (chiếm 3,34%). Số thí sinh dự thi để xét tốt nghiệp và tuyển sinh là 917.731 (chiếm 89,52%).
Theo kế hoạch, kết quả thi tốt nghiệp THPT năm 2023 sẽ được công bố vào 8h ngày 18/7. Việc xét công nhận tốt nghiệp THPT sẽ hoàn thành chậm nhất ngày 20/7. Muộn nhất ngày 22/7, các Sở GD&ĐT sẽ công bố kết quả tốt nghiệp THPT.
Việc in và gửi giấy chứng nhận kết quả thi cho thí sinh hoàn thành muộn nhất ngày 24/7.
| Bộ GD&ĐT vừa thông tin nhanh về buổi thi môn Ngữ văn ở kỳ thi tốt nghiệp THPT năm 2023 diễn ra sáng 28/6. Theo Bộ GD&ĐT, toàn quốc có 63 hội đồng thi, gồm 2.272 điểm thi và 43.032 phòng thi. Số thí sinh đăng ký dự thi là 1.012.060, song số thí sinh đến dự thi là 1.008.502 (chiếm tỷ lệ 99.65%). Số thí sinh vi phạm quy chế thi là 11. Theo đánh giá chung của Bộ GD&ĐT, buổi thi môn Ngữ văn diễn ra cơ bản an toàn, nghiêm túc, đúng quy chế. |
| Ngày Gia đình Việt Nam (28/6): Đừng chỉ nỗ lực cho con có một cuộc sống vật chất đủ đầy Thời đại ngày nay, gia đình bị đặt trước rất nhiều thách thức. Đó là khoảng cách giữa các thành viên bị kéo rộng ra ... |
| Tranh cãi bài thi 21 trang: Chất lượng bài văn không nằm ở độ dài, ngắn Nhiều ý kiến được đưa ra xung quanh bài thi 21 trang như: Đọc một bài văn có thể thấy được chất riêng, trí tuệ, ... |
| Kỳ thi tốt nghiệp THPT 2023: Chiều nay (27/6), hơn 1 triệu thí sinh cả nước làm thủ tục dự thi Chiều nay (27/6), khoảng hơn 1 triệu thí sinh làm thủ tục dự thi tốt nghiệp THPT năm 2023. Tổ chức coi thi tốt nghiệp ... |
| Sáng nay (28/6), hơn 1 triệu thí sinh bước vào môn thi Ngữ văn, kỳ thi tốt nghiệp THPT 2023 Sáng nay (28/6), hơn 1 triệu thí sinh tham dự kỳ thi tốt nghiệp THPT trên cả nước làm bài thi môn đầu tiên là ... |




