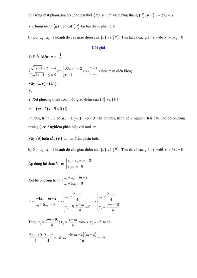
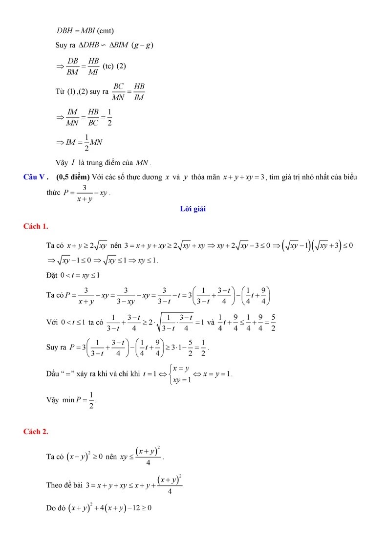
![]() |
![]() |
![]() |
![]() |
![]() |
![]() |
![]() |
![]() |
| Gợi ý lời giải chi tiết đề thi Toán vào lớp 10 của Hà Nội. |
| Thi lớp 10 công lập tại Hà Nội: Sáng nay (8/6), gần 110.000 thí sinh làm bài môn Ngữ văn Đề thi môn Ngữ văn lớp 10 của Hà Nội nhiều năm qua được đánh giá “an toàn”. |
| Đáp án môn Ngữ văn thi vào lớp 10 công lập tại Hà Nội Sáng 8/6, gần 110.000 thí sinh tại Hà Nội bước vào ngày thi đầu tiên của kỳ thi tuyển sinh lớp 10 công lập. |
| Đề tiếng Anh thi lớp 10 Hà Nội năm 2024 Chiều nay (8/6), các thí sinh Hà Nội dự thi vào lớp 10 năm 2024 đã trải qua bài thi môn tiếng Anh, trong thời ... |
| Dự báo thời tiết ngày thi cuối của Kỳ thi tuyển sinh vào lớp 10: Hà Nội có mưa vừa, mưa to Theo Trung tâm Dự báo Khí tượng Thủy văn quốc gia, ngày thi cuối của Kỳ thi tuyển sinh vào lớp 10 trung học phổ ... |
| Đề thi môn Toán kỳ thi vào lớp 10 tại Thủ đô Hà Nội Sáng nay, thí sinh Thủ đô đã hoàn tất bài thi môn Toán, môn cuối cùng trong số ba môn thi của của Kỳ thi ... |







