Chiều nay (6/6), sau 90 phút làm bài, các thí sinh hoàn thành bài thi Tiếng Anh trong kỳ thi tuyển sinh lớp 10 tại TP. Hồ Chí Minh.
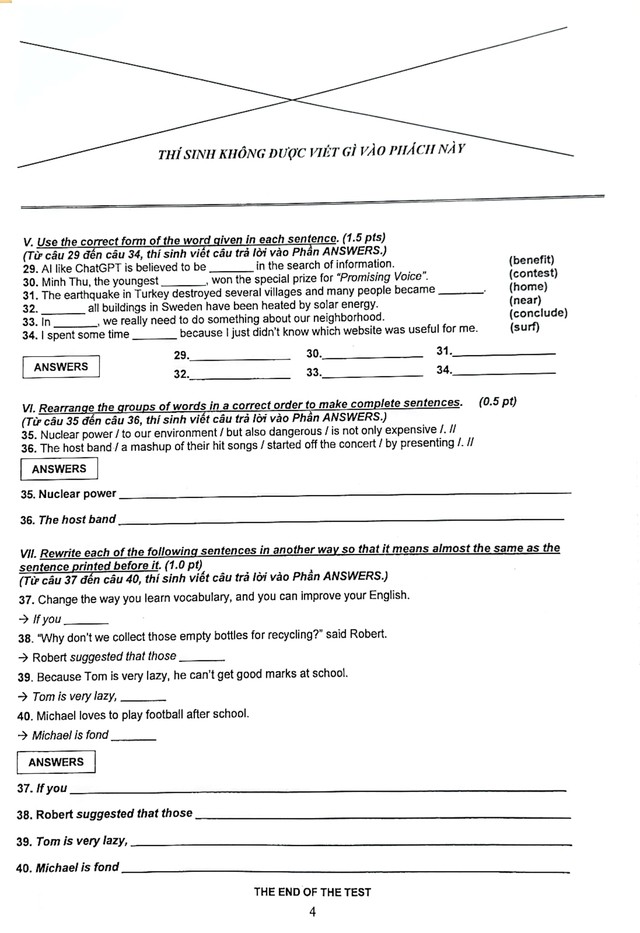
Dưới đây là đề thi chính thức môn Tiếng Anh vào lớp 10 tại TP. Hồ Chí Minh:
![]() |
![]() |
![]() |
![]() |
Kỳ thi vào lớp 10 tại TP. Hồ Chí Minh diễn ra ngày 6-7/6. Năm nay, số lượng học sinh lớp 9 dự xét tốt nghiệp THCS là 113.802. Trong đó, tổng số thí sinh tham dự thi vào lớp 10 là 96.325, chia thành các nhóm: Thí sinh chỉ đăng ký xét 3 nguyện vọng thường là 88.237; thí sinh đăng ký xét nguyện vọng tích hợp là 1.147; thí sinh đăng ký xét nguyện vọng chuyên là 6.941 trong đó có 236 thí sinh tỉnh khác.
Kỳ thi diễn ra tại 158 điểm thi (gồm 147 điểm thi thường và 11 điểm thi chuyên) với 4.102 phòng thi (trong đó 3.778 phòng thi lớp 10 thường - 24 thí sinh/phòng, ở mỗi điểm thi sẽ có thêm 3 phòng thi dự phòng).
Học sinh dự thi 3 môn gồm: Toán, Ngữ văn, Ngoại ngữ. Trong đó, thời gian thi môn Toán và Văn là 120 phút. Thời gian thi môn Ngoại ngữ 90 phút. Điểm xét tuyển vào lớp 10 thường = điểm Toán + điểm Ngữ văn + điểm Ngoại ngữ + điểm khuyến khích (nếu có).
Thí sinh sẽ được đăng ký ba nguyện vọng ưu tiên 1, 2, 3 để xét tuyển vào lớp 10 các trường THPT công lập (trừ Trường THPT chuyên Lê Hồng Phong, Trường THPT chuyên Trần Đại Nghĩa và Trường Phổ thông năng khiếu, Đại học Quốc gia TP. Hồ Chí Minh).
| Bộ Giáo dục và Đào tạo nói gì về việc thiếu sách giáo khoa? Thứ trưởng Hoàng Minh Sơn cho biết, hiện nay chưa có chủ trương chỉ đạo từ cấp trên về việc Bộ Giáo dục và Đào ... |
| Đề thi môn Toán vòng 1 vào lớp 10 Trường THPT Chuyên Khoa học tự nhiên năm 2023 Dưới đây là đề thi môn Toán vòng 1 (điều kiện) vào lớp 10 Trường THPT Chuyên Khoa học tự nhiên - ĐHQGHN năm 2023 ... |
| Tuyển sinh 2023: Chi tiết quy định và ưu tiên xét tuyển thẳng vào trường quân đội Ban Tuyển sinh quân sự Bộ Quốc phòng vừa ban hành hướng dẫn việc tổ chức xét tuyển thẳng, ưu tiên xét tuyển và xét ... |
| TP. Hồ Chí Minh: Thí sinh cần chú ý gì khi thi vào lớp 10 năm 2023? Ngày 6-7/6 tới, học sinh tại TP. Hồ Chí Minh sẽ tham gia kỳ thi vào lớp 10. Dưới đây là những lưu ý đặc ... |



